45 label the parts of the nucleotide.
Label the parts of the nucleotides 1 dna is genetic Label the parts of the nucleotides. 1. DNA is genetic information that is present in all living organisms. True False Nitrogenous base1 Phosphate group2 Sugar3 2. The building blocks, or structural units, of a DNA molecule are called _____. nucleotides double helix strands base pairs None of the above correct answer : nucleotides . nucleotides 3. What are the Three Parts of a Nucleotide? | Albert.io Nucleotides are made up of 3 parts. The first is a distinct nitrogenous base, which is adenine, cytosine, guanine or thymine. In RNA, thymine is replaced by uracil. These nitrogenous bases are either purines or pyrimidines. Base pairs are formed when adenine forms a hydrogen bond with thymine, or cytosine forms a hydrogen bond with guanine.
Use the drop-down menus to label the parts of a nucleotide. Label A ... Find an answer to your question Use the drop-down menus to label the parts of a nucleotide. Label A dimasmolina2002 dimasmolina2002 07/10/2020 Biology Middle School answered Use the drop-down menus to label the parts of a nucleotide. Label A 2 See answers Advertisement Advertisement hjennings hjennings

Label the parts of the nucleotide.
Answered: Label the parts of a nucleotide: 3. HG… | bartleby Label the parts of a nucleotide: 3. HG CH 1. 1. 0 2. HO P-0-CH 3. 2. HO Complementary base pair rules in DNA are: Adenine pairs with uracil with gaunine and Cytosine pairs because there is no thymine in In RNA, adenine pairs with RNA. Fill in the chart showing difference between DNA and RNA. DNA RNA Number of strands Sugar Bases Function Where ... Solved Correctly label the parts of the two-nucleotide - Chegg Science Chemistry Chemistry questions and answers Correctly label the parts of the two-nucleotide nucleic acid depicted Drag the appropriate labels to their respective targets Reset Help 5' position H2C OH in RNA Nitrogen base attached to 1' position 3' position Phosphodiester bond Deoxyribose 2 Phosphate Base DNA Molecule Label Diagram | Quizlet Nucleotide in a nucleic-acid chain, a sub-unit that consists of a sugar, a phosphate, and a nitrogenous base Cytosine The base that pairs with Guanine with DNA Base Pair A pair of complementary nitrogenous bases in a DNA molecule Hydrogen Bonds Bond holding together Nitrogen Bases in DNA Sugar-Phosphate Backbone
Label the parts of the nucleotide.. What Three Components Make Up A Nucleotide Gizmo Terms In This Set (5 ... Draw And Label The Three Parts Of A Nucleotide - Pensandpieces from There are three components to a nucleotide: 1) a phosphate group, 2) a sugar the three components that create a dna nucleotide are a phosphate group, a nitrogenous base [this will be either adenine, guanine, cytosine, or. Each nucleotide, in turn, is made up ... Cell Size and Scale - University of Utah The label on the nucleotide is not quite accurate. Adenine refers to a portion of the molecule, the nitrogenous base. It would be more accurate to label the nucleotide deoxyadenosine monophosphate, as it includes the sugar deoxyribose and a phosphate group in addition to the nitrogenous base. Methods for Labeling Nucleic Acids - Thermo Fisher Scientific Summary of nucleic acid labeling methods. 1. 5′ end-labeled primers can be used with this method in order to add a 5′ modification to a DNA probe. 2. Modified nucleotides can be added to the 3′ recessed-end of double-stranded DNA during fill-in reactions. 3. What are the three parts of a nucleotide? - toppr.com How do you draw a nucleotide and label its three basic parts? Medium. View solution > What part of an atom is involved in nuclear reactions? Medium. View solution > Three samples of a radioactive substance have activity in a ratio 2:5:7 , then after two half lives the ratio of their activities will be: Hard. View solution >
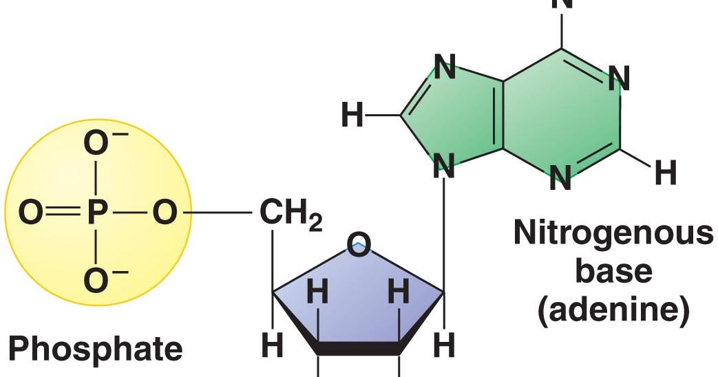
Nucleotide - Genome.gov A nucleotide is the basic building block of nucleic acids (RNA and DNA). A nucleotide consists of a sugar molecule (either ribose in RNA or deoxyribose in DNA) attached to a phosphate group and a nitrogen-containing base. The bases used in DNA are adenine (A), cytosine (C), guanine (G) and thymine (T). Nucleotide - Wikipedia Nucleotides are composed of three subunit molecules: a nucleobase, a five-carbon sugar ( ribose or deoxyribose ), and a phosphate group consisting of one to three phosphates. The four nucleobases in DNA are guanine, adenine, cytosine and thymine; in RNA, uracil is used in place of thymine. DNA Structure - YouTube Learn about the structure of DNA and how to recognize all the parts in this video! What are the three parts of a nucleotide? Flashcards | Quizlet What are the three parts of a nucleotide? Flashcards | Quizlet What are the three parts of a nucleotide? 5.0 1 Review STUDY Flashcards Learn Write Spell Test PLAY Match Gravity What are the three parts of a nucleotide? Click card to see definition 👆 Phospate, sugur, nitrogen base Click again to see term 👆 1/20 Previous ← Next → Flip Space
What Are the Three Parts of a Nucleotide? - Reference.com The three subunits of a nucleotide are a nitrogenous base, a sugar and a phosphate group. Nucleotides are the building blocks of DNA and RNA molecules. One nitrogenous base, known as purine, is comprised of adenine and guanine. The other nitrogenous base is pyrimidine, which is cytosine and thymine. These bases combine to form DNA. Getting Started with UCSF Chimera (The label command shows atom information instead.) The 3D labels from rlabel and label move along with structures and are mainly for interactive use. For figures and movies, 2D Labels are recommended instead. The following command can be used to promote the selection to the entire residues: Use the drop-down menus to label the parts of a nucleotide. A nucleotide is a molecule composed of a pentose sugar (ribose in RNA and deoxyribose in DNA), a nitrogenous base, and a phosphate group. In DNA, there are four types of nucleotides that contain four different classes of nitrogen bases: Adenine, Guanine, Cytosine and Thymine. In RNA, Thymine bases are replaced by Uracil bases. Oligonucleotide Conjugation Kit (ab218260) - Abcam To label cells from each mouse within the infection groups and enable multiplexing, cells were incubated with custom-designed hashtag oligos (HTO) conjugated to anti-PE antibodies using the Oligonucleotide Conjugation Kit (ab218260).
Ivabradine: MedlinePlus Drug Information Ivabradine comes as a tablet and as an oral solution (liquid) to take by mouth. It is usually taken with food twice a day. Take ivabradine at around the same times every day. Follow the directions on your prescription label carefully, and ask your doctor or pharmacist to explain any part you do not understand. Take ivabradine exactly as directed.
The 5 Kinds of Nucleotides Are Polymers Made Up of 3 Parts The five bases are adenine, guanine, cytosine, thymine, and uracil, which have the symbols A, G, C, T, and U, respectively. The name of the base is generally used as the name of the nucleotide, although this is technically incorrect. The bases combine with the sugar to make the nucleotides adenosine, guanosine, cytidine, thymidine, and uridine.
Name the 3 parts of a Nucleotide? - Answers Name 3 parts to a nucleotide then draw and label one? suger , base. What 3 parts make up a nucleotide? The phosphate group is part of the nucleotide. Pentose sugar and Nitrogenous base is part of ...
3 Parts of a Nucleotide and How They Are Connected Nucleotides in DNA and RNA Both deoxyribonucleic acid (DNA) and ribonucleic acid (RNA) are made up of nucleotides which consist of three parts: Nitrogenous Base Purines and pyrimidines are the two categories of nitrogenous bases. Adenine and guanine are purines. Cytosine, thymine, and uracil are pyrimidines.
What are the 3 parts of a Nucleotide? - Answers A nucleotide has three parts: a sugar, a base, and a phosphate group, which contains phosphorus and oxygen atoms. its attached by DNA, RNA, and ATP.
Nucleotide: Structure, Examples and Function - BYJUS A nucleotide consists of three units, which are covalently linked. They are: 1. Nitrogenous Base: They contain purine or pyrimidine base. DNA contains adenine (A), guanine (G), thymine (T) and cytosine (C), whereas RNA contains adenine, guanine, uracil (U) and cytosine. 2. Sugar: A nucleotide contains a pentose sugar.
Solved Label the different parts of the nucleotide below, A | Chegg.com Question: Label the different parts of the nucleotide below, A 5.phosphoryl group NH2 Adenine nucleotide base N. N Ribose sugar -20₃Po- N N 2hydroxy! group OH OHO This problem has been solved! See the answer Show transcribed image text Expert Answer
Nucleotide - Definition, Structure (3 Parts), Examples & Function A nucleotide is made up of three parts: a phosphate group, a 5-carbon sugar, and a nitrogenous base. The four nitrogenous bases in DNA are adenine, cytosine, guanine, and thymine. RNA contains uracil, instead of thymine. A nucleotide within a chain makes up the genetic material of all known living things.
Building Blocks of Nucleic Acids | Structures & Functions Importance of Nucleotides. As building blocks of nucleic acids, nucleotides primarily aid in storing genetic information that will be later the basis for the manifestation of physical traits. Moreover, they also play roles in various biological and physiological processes. As molecules, they help in the transport of ATP and serve as biological ...
Post a Comment for "45 label the parts of the nucleotide."